A study by Demographia this year assessed 406 urban markets in nine countries: Australia, Canada, Hong Kong, Ireland, Japan, New Zealand, Singapore, United Kingdom, and the United States as at the third quarter of 2016.
The report found Hongkong as the most 'unaffordable' city to buy a house.
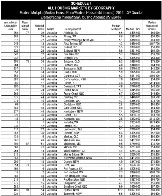
Sydney housing market was ranked second most expensive in the world and "severely unaffordable". While the median house price in Sydney is $1,077,000, the median household income is $88,000.
Sydney pipped other global cities with expensive real estate such as Los Angeles, London, San Francisco and New York.
Melbourne came in at six in the study, while Adelaide, Brisbane and Perth were all ranked in the top 20 most expensive.
While the median house price in Melbourne is $740,000, the median household income is $78,200.
For Adelaide, the median house price is $435,000 and median household income is $66,000.
For Brisbane, the median house price is $495,000 and the median household income is $79,400.
TAKE A LOOK AT THE MEDIAN PRICE ACROSS AUSTRALIA


Demographia, which ranks housing affordability in cities with a population over 1,000,000, listed Australia's major problem as urban containment policies.
Urban containment policies aim to curb the growth of the urban sprawl by encouraging greater density in existing housing areas rather than opening up new sites, commonly called "greenfields."
"We should not accept extreme price levels in our housing markets. High house prices are not a sign of city's success but a sign of failure to deliver the housing that its citizens need," Director of the New Zealand Initiative Oliver Hartwich said in the report.

The news comes on the heels of new NSW Premier Gladys Berejiklian announced she would address the NSW housing crisis after declaring it "the biggest issue people have across the state".
Follow SBS Hindi's FACEBOOK PAGE for latest news and information.
